
1 前言
隨著人們環保和節能意識的逐漸提高,眾多大中型企業如鋼鐵冶金、石油化工、火力發電廠等,已將提高燃燒效率、降低能源消耗、降低污染物排放、保護環境等作為提高產品質量和增強產品競爭能力的重要途徑。鋼鐵行業的軋鋼加熱爐、電力行業的鍋爐等燃燒裝置和熱工設備,是各行業的能源消耗大戶。因此,如何測量和提高燃燒裝置的燃燒效率、確定最佳燃燒點,是十分令人關心的。
2 確定最佳燃燒效率點
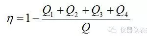
供給加熱爐、鍋爐等加熱設備的燃料燃燒熱并不是全部被利用了。以軋鋼加熱爐或鍋爐為例,有效熱是為了使物料加熱或熔化(以及工藝過程的進行)所必須傳入的熱量。根據爐子熱平衡可知,

式中,Q——供給爐子的熱量;
Q1——爐子煙氣(廢氣)中過剩空氣帶走的物理熱;
Q2——爐子煙氣(廢氣)中燃料不完全燃燒而生成的或未燃燒的CO氣帶走的物理熱;
Q3——爐子設備熱損失(包括爐體散熱、逸氣損失、冷卻水帶走、熱輻射等);
Q4——其他熱損失。
由上式可以看出,爐子煙氣帶走的物理熱是熱損失中主要部分。圖1顯示了熱效率和各項熱損失隨著空燃比α的增減的變化規律。
當鼓風量過大時(即空燃比α偏大),雖然能使燃料充分燃燒,但煙氣中過剩空氣量偏大,表現為煙氣中O2含量高,過剩空氣帶走的熱損失Q1值增大,導致熱效率η偏低。與此同時,過量的氧氣會與燃料中的S、煙氣中的N2反應生成SO2、NOX等有害物質。而對于軋鋼加熱爐,煙氣中氧含量過高還會導致鋼坯氧化鐵皮增厚,增加氧化燒損。
當鼓風量偏低時(即空燃比α減小),表現為煙氣中O2含量低,CO含量高,雖說排煙熱損失小,但燃料沒有完全燃燒,熱損失Q2增大,熱效率η也將降低。另外,煙囪也會冒黑煙而污染環境。

圖1 熱效率與空燃比的關系
所謂提高燃燒效率,就是要適量的燃料與適量的空氣組成最佳比例進行燃燒。實驗研究表明,圖2為煙氣中氧含量和CO含量與爐子能耗的關系。

圖2 煙氣中O2和CO含量與爐子能耗的關系
圖2中,“過量空氣能耗”陰影面積表示富余的空氣形成的能耗(或熱損失),表征為煙氣中O2含量。“過量燃料能耗”陰影面積表示有未完全燃燒的燃料所引起的能耗,表征為煙氣中CO含量。可以看出,若要降低這兩部分能耗(同時亦可提高產品質量),必須降低煙氣中O2含量和CO含量,但煙氣中O2含量和CO含量是互相制約的兩個因素。若將上述兩個陰影區疊加成另外一條曲線,即總效率熱損失曲線,其最小值即為最佳的燃燒控制點,此處熱損失最小、熱效率最高,即煙氣中O2含量約為1%。
由上文可知,熱效率與煙氣中的CO、O2、CO2含量以及排煙溫度、供熱負荷、霧化條件等因素有關。因此,可通過測量并控制煙道氣體中CO、O2、CO2的含量來調節空氣消耗系數λ,來達到最高燃燒效率。
燃燒效率控制由來已久,上世紀60年代,曾廣泛采用CO2分析儀監測煙道氣體中CO2含量來控制空氣消耗系數λ以達到最佳,但CO2含量受燃料品種影響較大。1970年代后,逐漸采用煙氣中O2含量或O2含量和CO含量相結合的方法來控制燃燒效率。
提高燃燒效率最直接的方法就是使用煙氣分析儀器(如煙氣分析儀、燃燒效率測定儀、氧化鋯氧含量檢測儀)連續監測煙道氣體成分,分析煙氣中O2含量和CO含量,調節助燃空氣和燃料的流量,確定最佳的空氣消耗系數。
3 正確使用煙氣分析儀
無論采取何種方式控制燃燒效率,快速、準確的測量煙氣中O2含量和CO含量都是實現最佳燃燒的前提條件。因此,這里介紹一些典型的煙氣分析儀器的工作原理及其使用方法。
3.1 煙氣分析儀(或燃燒效率測定儀)
煙氣分析儀是抽氣采樣爐窯煙道氣體并自動進行成分分析的儀表,分為在線監測式和便攜式。一般可以測量分析煙氣中的CO、O2、NOX、SO2等氣體含量,以及煙氣溫度、壓力等,并通過計算獲得CO2含量、過剩空氣系數、煙氣露點、燃燒效率、排煙熱損失、煙氣流量等熱工參數。
煙氣分析儀中一般安裝多個傳感器,分為電化學傳感器和紅外傳感器。電化學傳感器測量原理是將待測氣體經過除塵、去濕后進入傳感器室,經由滲透膜進入電解槽,使在電解液中被擴散吸收的氣體在規定的氧化電位下進行電位電解,根據耗用的電解電流求出其氣體的濃度。
紅外傳感器主要由紅外光源、紅外吸收池、紅外接收器、氣體管路、溫度傳感器等組成。它是利用各種元素對某個特定波長的吸收原理,當被測氣體進入紅外吸收池后會對紅外光有不同程度的吸收,從而計算出氣體含量。紅外傳感器具有抗中毒性好、量程范圍廣、反應靈敏等特點。
煙氣分析儀利用測量得到的O2、CO含量等數據可計算得到相應的熱工參數。其計算公式如下:

式中:O2、CO2——干煙氣中O2、CO2的體積百分濃度,%
CO2max——燃料完全燃燒生成的CO2最大值
Tgas、Tair——燃氣溫度、環境溫度,℃
A1——燃燒效率系數 B——按Siegert公式計算出的校正系數
Vdrymin——干煙氣體積 Cpm——燃氣比熱
Hu——燃氣凈熱值 VH2O——水蒸氣體積 CpmH2O——水蒸氣比熱
3.2 氧氣分析儀
測量煙氣中含氧量的儀表稱為氧分析儀(氧量計)。常用的氧分析儀主要有熱磁式和氧化鋯式兩種。
(1)熱磁式氧分析儀
其原理是利用煙氣組分中氧氣的磁化率特別高這一物理特性來測定煙氣中含氧量。氧氣為順磁性氣體(氣體能被磁場所吸引的稱為順磁性氣體),在不均勻磁場中受到吸引而流向磁場較強處。在該處設有加熱絲,使此處氧的溫度升高而磁化率下降,因而磁場吸引力減小,受后面磁化率較高的未被加熱的氧氣分子推擠而排出磁場,由此造成“熱磁對流”或“磁風”現象。在一定的氣樣壓力、溫度和流量下,通過測量磁風大小就可測得氣樣中氧氣含量。由于熱敏元件(鉑絲)既作為不平衡電橋的兩個橋臂電阻,又作為加熱電阻絲,在磁風的作用下出現溫度梯度,即進氣側橋臂的溫度低于出氣側橋臂的溫度。不平衡電橋將隨著氣樣中氧氣含量的不同,輸出相應的電壓值。
熱磁式氧分析儀雖然具有結構簡單、便于制造和調整等優點,但由于其反應速度慢、測量誤差大、容易發生測量環室堵塞和熱敏元件腐蝕嚴重等缺點,已逐漸被氧化鋯氧分析儀所取代。
(2)氧化鋯傳感器式氧分析儀
氧化鋯(ZrO2)是一種陶瓷,一種具有離子導電性質的固體。在常溫下為單斜晶體,當溫度升高到1150℃時,晶型轉變為立方晶體,同時約有7%的體積收縮;當溫度降低時,又變為單斜晶體。若反復加熱與冷卻,ZrO2就會破裂。因此,純凈的ZrO2不能用作測量元件。如果在ZrO2中加入一定量的氧化鈣(CaO)或氧化釔(Y2O3)作穩定劑,再經過高溫焙燒,則變為穩定的氧化鋯材料,這時,四價的鋯被二價的鈣或三價的釔置換,同時產生氧離子空穴,所以ZrO2屬于陰離子固體電解質。ZrO2主要通過空穴的運動而導電,當溫度達到600℃以上時,ZrO2就變為良好的氧離子導體。
在氧化鋯電解質的兩面各燒結一個鉑電極,當氧化鋯兩側的氧分壓不同時,氧分壓高的一側的氧以離子形式向氧分壓低的一側遷移,結果使氧分壓高的一側鉑電極失去電子顯正電,而氧分壓低的一側鉑電極得到電子顯負電,因而在兩鉑電極之間產生氧濃差電勢。此電勢在溫度一定時只與兩側氣體中氧氣含量的差(氧濃差)有關。若一側氧氣含量已知(如空氣中氧氣含量為常數),則另一側氧氣含量(如煙氣中氧氣含量)就可用氧濃差電勢表示,測出氧濃差電勢,便可知道煙氣中氧氣含量。
氧化鋯氧分析儀具有結構和采樣預處理系統較簡單、靈敏度和分辨率高、測量范圍寬、響應速度較快等優點。
3.3 產品及應用
煙氣分析儀器應用領域十分廣泛,例如:
(1)熱電廠循環流化床鍋爐用于燃燒控制室的煙道氣體監測;
(2)鋼鐵廠軋鋼加熱爐用于解決降低氧化燒損或脫碳層厚度時的爐氣氣氛檢測;
(3)全氫熱處理爐用于檢測輻射管是否燒穿漏氣
(4)研制新型燃燒器(蓄熱式、低NOX式、輻射管式)時用于燃燒器結構尺寸的設計研究;
(5)汽車尾氣排放檢測;
(6)其他環境保護監測項目。
4 結束語
煙氣分析儀已經成為控制爐窯燃燒和運行不可缺少的重要設備,正確使用它并通過它合理調節爐窯熱工操作參數,將收到以下效果:
(1)節約能源。減少助燃空氣量和排風量,節省通風機動力費用。減少煙氣中過量空氣帶走的熱量損失,達到節能的目的。或減少過量燃燒供給量,直接實現節約燃料。
(2)減少環境污染。減少NOX、SO2等污染物的排放。
(3)提高產品質量。控制煙氣殘氧量可減少鋼坯氧化燒損,提高企業經濟效益。
(4)延長爐窯使用壽命。
我國有數十萬臺中小型工業鍋爐和加熱爐,我國的發電煤耗和噸鋼能耗都與國際先進水平有一定差距,若能采用煙氣分析儀器等自動控制手段,對有關燃燒參數進行在線、及時、準確的監測,以便實現人工調節或自動控制,使燃燒效率達到最高(或者較高),將給社會帶來巨大的經濟效益和社會效益。
其他相關新聞